研究利用LAMOST揭示热亚矮星双星物理参数统计规律
2026/04/25
热亚矮星是一类核心处于氦燃烧阶段、外壳极薄的致密恒星,其演化过程对解释椭圆星系紫外超出现象具有重要意义。
近日,中国科学院云南天文台在热亚矮星双星物理参数统计研究方面取得进展。团队基于郭守敬望远镜(LAMOST)低分辨率光谱数据,从前期候选体中筛选出123个高质量的热亚矮星和主序星双星系统。通过光谱分解技术获取热亚矮星有效温度和表面重力,并结合恒星演化模型估算双星各自的质量与半径。
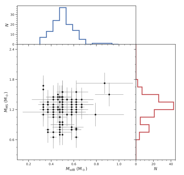
研究发现,热亚矮星质量集中在0.5M⊙附近,符合核心氦燃烧星特征;主序伴星质量范围为0.6-1.9M⊙,其中1.0-1.4M⊙占比最高,对应F/G型主序星。团队采用蒙特卡洛方法进行统计推断,揭示双星轨道周期主要分布在数十天至数千天的长周期区间,与稳定洛希瓣外流通道形成的宽距双星预期一致。
该研究构建了目前最大规模、参数最均匀的复合光谱热亚矮星双星样本,系统揭示了此类天体质量、半径及轨道周期的统计规律。结果表明,该类双星群体主要通过稳定洛希瓣外流通道形成,为区分热亚矮星双星演化路径提供了关键观测约束。研究成果丰富了热亚矮星形成机制的认知体系,为后续大样本双星演化统计研究奠定基础。
相关研究成果发表在《天体物理学杂志》(The Astrophysical Journal)上。研究工作得到国家自然科学基金、国家重点研发计划等的支持。
双星系统中热亚矮星与主序伴星的质量分布,热亚矮星质量集中于0.5M⊙附近,而主序伴星质量范围较宽。
通过蒙特卡洛方法统计推断的轨道周期分布,系统周期主要集中在数十天至数千天的长周期区间。
文章来源云南天文台,分享只为学术交流,如涉及侵权问题请联系我们,我们将及时修改或删除。
-
2026年4月高录用检索快国际学术会 564
-
2026年第17届机械与航空航天工程 152
-
2026年先进航空航天技术与卫星应用 293
-
2026资源、化学化工与应用材料国际 1776
-
2026年图像处理与数字创意设计国际 1603
-
2026年机械工程,新能源与电气技术 6073
-
2026年材料科学、低碳技术与动力工 1797
-
2026 先进材料、增材制造与装备升 04-24
-
2026 云计算、大数据平台与信息系 04-24
-
2026 地质工程、矿产资源与绿色开 04-24
-
2026 虚拟现实、增强现实与数字孪 04-24
-
2026 园林工程、生态绿化与城市景 04-24
-
2026 影视传媒、动画设计与数字文 04-24
-
2026 数学建模、仿真分析与工程计 04-24
-
2026 数控技术、机械加工与智能装 04-24
-
2026年中科院期刊分区表(新锐2486
-
2025年两院院士增选有效候选人4388
-
2025最新JCR分区及影响因子12265
-
好学术:科研网址导航|学术头条分5643
-
2025年国际期刊预警名单发布!5804
-
2025年中科院期刊分区表重磅发20620
-
中国科协《重要学术会议目录(2011734
-
吉林大学校长张希:学术会议中的提6925
-
上海交大环境学院程金平研究员团队04-26
-
北京大学生命科学学院邓宏魁团队发04-26
-
大连理工大学我校科研团队在镁合金04-26
-
化石证据揭示被子植物古多倍化演化04-26
-
研究揭示海洋硅藻适应高温的分子机04-26
-
研究揭示调控缺血性脑卒中后神经炎04-26
-
科学家制备出用于热管理可打印的碳04-26
-
沈阳中意国际旅行社会议服务部 21187

-
福州市广电集团 18356

-
汇思软件(上海)有限公司 18411

-
FEA 8369

-
WILL 21373

-
泰安肥城宝盛大酒店 24155

-
美国汽车工程师学会 24446

-
Sun Yat-sen Univ 18337

-
apise 23177

-
中国连锁经营协会 21363

-
中国传媒大学 18419

-
武汉大学城市设计学院 23282

-
WWX 23245

-
IC4M 21311

-
拉萨旭日会议服务有限公司 21355

-
固体废物管理与技术国际会议 18389

-
中国劲牌有限公司 18350

-
工业和信息化部工业文化发展中心 24234

-
青岛蓝海大饭店(崂山) 21359

-
烟台烟台烟台烟台 2422





















12









































