高海拔宇宙线观测揭示恒星级黑洞为宇宙极端粒子加速器
2025/11/21
近日,我国重大科技基础设施——高海拔宇宙线观测站(LHAASO,拉索)在银河系内多个黑洞X射线双星周边首次探测到能量高达百万亿电子伏特(=1014eV或100TeV)之上的超高能伽马射线辐射,包括SS 433、V4641 Sgr、GRS 1915+105、Cygnus X-1与MAXI J1820+070等五个天体,均为由恒星质量黑洞与伴星构成的强引力系统,当黑洞吞噬伴星物质时,能够以喷流的形式释放巨大能量,这种黑洞-喷流系统也被称为微类星体。拉索国际合作组的这一研究成果11月16日以“Ultrahigh-Energy Gamma-ray Emission Associatedwith Black Hole-Jet Systems”为题,发表在《国家科学评论》(National Science Review)上,我校天文学系李剑特任教授、杨睿智教授、博士后于艳红为共同通讯作者。
拉索的观测显示,这些系统的伽马射线能谱延伸至数百TeV甚至接近PeV,表明黑洞-喷流系统是极端高效的粒子加速器。尤其值得注意的是,SS 433的辐射形态在100TeV之下与X射线波段观测到的形态吻合,表明其源于喷流与黑洞东西两侧的星际介质相互作用产生的瓣状结构加速的电子;而在100TeV之上,辐射形态产生了变化,在南北方向产生了延展,并与黑洞周边一团由原子氢组成的质量云团位置重合(图1),强烈暗示SS 433的超高能伽马射线起源于由该系统加速的PeV质子与物质的强相互作用。而拉索对SS 433的能谱测量也显示出电子辐射与质子辐射共存的迹象(图2)。
图1拉索测量到的SS 433区域伽马射线显著性天图。左图:1-25TeV;中图:25-100TeV;右图:100TeV以上。图中青色十字代表黑洞的位置,青色的等高线为X射线瓣状结构,产生于黑洞双侧喷流与星际介质的相互作用。右图中白色等高线代表与SS 433相近距离上的原子云柱密度分布。
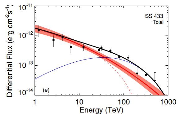
图2拉索测量到的SS 433区域伽马射线能谱(黑色数据点)。红色实线代表基于电子逆康普顿辐射模型对能谱数据的最佳拟合值,红色带状区域显示了最佳拟合的误差范围。红色虚线代表将最大电子加速能量降低至一个较合理的数值后的理论预期能谱。蓝色实线代表基于质子的强子辐射模型的理论预期能谱。黑色实线代表红色虚线与蓝色实线之和。
宇宙线是来自地外的高能带电粒子,主要成分是质子。长期以来,银河系内公认的主要宇宙线起源天体是超新星遗迹,但近年来观测和理论都发现它们无力将质子加速到PeV及以上的高能量,因此无法解释宇宙线能谱一个重要的结构“膝区”的形成。拉索系统性地发现5个微类星体的超高能伽马射线辐射,表明微类星体是银河系中一类新的PeV宇宙线加速器,极可能是“膝区”宇宙线的主要来源,为理解宇宙线起源的物理图景补上了一块重要的拼图。
文章来源中国科技大学,分享只为学术交流,如涉及侵权问题请联系我们,我们将及时修改或删除。
-
2025年12月优质国际学术会议推荐 520
-
2026年第十一届复合材料与材料工程 714
-
2025年机器视觉、智能成像与模式识 1363
-
2025年智能光子学与应用技术国际学 2501
-
2025年机械工程,新能源与电气技术 2719
-
2025年计算机科学、图像分析与信号 3071
-
2025年材料化学与燃料电池技术国际 2830
-
“第六届智慧石油 会暨智能制造技术交 11-21
-
2026年商业数据分析与智能决策国际 11-21
-
2026年交通工程与智慧物流系统国际 11-21
-
2026年人工智能、智能电网与能源工 11-21
-
2026年智能结构、大数据与健康监测 11-21
-
2026年生物过程、发酵工程与食品安 11-21
-
2026年环境工程与污染控制技术国际 11-21
-
2026年化学工程、过程强化与生物科 11-21
-
2025年两院院士增选有效候选人2051
-
2025最新JCR分区及影响因子6456
-
好学术:科研网址导航|学术头条分2956
-
2025年国际期刊预警名单发布!2846
-
2025年中科院期刊分区表重磅发12316
-
中国科协《重要学术会议目录(206685
-
吉林大学校长张希:学术会议中的提3819
-
高海拔宇宙线观测揭示恒星级黑洞为11-21
-
研究发现趋磁细菌在重金属铅毒性干11-21
-
清华牵头的空间科学项目首次实现太11-21
-
清华大学在第77届德国纽伦堡国际11-21
-
研究发现肠道菌群和脂质代谢对羊肉11-21
-
清华大学交叉信息研究院举办第五届11-21
-
中国农业大学土地学院冯权泷副教授11-21
-
电子科技大学医学院林永红团队荣获11-21
-
武汉大学 18292

-
广州国际大健康博览会高峰论坛 18492

-
西华大学数学与计算机学院 23149

-
第4届IEEE灰色系统与智能服务 21239

-
2016年人类社会科学国际学术会 2151

-
北京信息科技大学 2156

-
哈尔滨工业大学 23084

-
国际儿科学杂志编辑部 22990

-
武汉优莱特文化发展有限公司 24337

-
中国科学院深圳先进技术研究院 21010

-
宁波雅卓展览服务有限公司 24154

-
中国社会科学院报 18029

-
Focussend 23991

-
上海广润广告有限公司 17987

-
新天木业有限公司 18134

-
辽宁省医学会学术部 18092

-
Northeastern Uni 17998

-
武汉科技大学 18192

-
中铁十六局集团 18257

-
陕西汉中供电局 21357

















19















































